| Exam Code/Number: | Module-0Join the discussion |
| Exam Name: | Entry exam of the Certified Actuarial Analyst qualification |
| Certification: | CAA Global |
| Question Number: | 57 |
| Publish Date: | Jan 06, 2026 |
|
Rating
100%
|
|
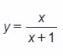
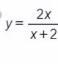
Let x and y be two positive real numbers.
Rewrite the following equation such that y becomes the subject of the formula:
A)
B)
C)
D)
Identify which of the following statements is true,where X is a discrete random variable that exists over the domain [a. b], and F(x) is its distribution function.
A)
B)
C)
D)
Two real numbers, x and y, satisfy the following inequalities:
Determine which statement is true.