FreeQAs
 Request Exam  Contact
  • Home
  • View All Exams
  • New QA's
  • Upload
PRACTICE EXAMS:
  • Oracle
  • Fortinet
  • Juniper
  • Microsoft
  • Cisco
  • Citrix
  • CompTIA
  • VMware
  • SAP
  • EMC
  • PMI
  • HP
  • Salesforce
  • Other
  • Oracle
    Oracle
  • Fortinet
    Fortinet
  • Juniper
    Juniper
  • Microsoft
    Microsoft
  • Cisco
    Cisco
  • Citrix
    Citrix
  • CompTIA
    CompTIA
  • VMware
    VMware
  • SAP
    SAP
  • EMC
    EMC
  • PMI
    PMI
  • HP
    HP
  • Salesforce
    Salesforce
  1. Home
  2. IIA Certification
  3. IIA-CIA-Part3 Exam
  4. IIA.IIA-CIA-Part3.v2025-10-13.q454 Dumps
  • «
  • 1
  • 2
  • 3
  • 4
  • 5
  • 6
  • 7
  • 8
  • 9
  • 10
  • …
  • »
  • »»
Download Now

Question 6

Which of the following characteristics applies to an organization that adopts a flat structure?

Correct Answer: A
insert code

Question 7

Violation of which assumption underlying regression analysis is prevalent in time series analysis?

Correct Answer: B
Time series analysis is a regression model in which the independent variable is time. In time series analysis, the value of the next time period is frequently dependent on the value of the time period before that. Hence, the error terms are usually correlated or dependent on the prior period; i.e., they are characterized by autocorrelation serial correlation).
insert code

Question 8

The correlation coefficient that indicates the weakest linear association between two variables is:

Correct Answer: B
The correlation coefficient can vary from -1 to +1. A -1 relationship indicates a perfect negative correlation, and a +1 relationship indicates a perfect positive correlation. A zero correlation coefficient would indicate no association between the variables. Thus, the correlation coefficient that is nearest to zero would indicate the weakest linear association. Of the options given in the question, the correlation coefficient that is nearest to zero is
0.11.
insert code

Question 9

Organization X owns a 38 percent equity stake in Organization Y.
Which of the following statements is true regarding the financial treatment for this relationship?

Correct Answer: D
insert code

Question 10

The Huron Corporation purchases 60,000 headbands per year. The average purchase lead time is 20 working days, and the maximum lead time is 27 working days. Safety stock equals 1,750 units. The corporation works 240 days per year. Huron should reorder headbands when the quantity in inventory reaches:

Correct Answer: B
The reorder point is the quantity on hand when an order is placed. If it has 20-day normal lead time, a safety stock of 1,750 units, and usage of 250 units per day, an order should be placed when 27 days of inventory are on hand, a total of 6,750 units 250 units 27 days).
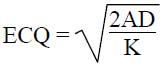
Jed Ryerson Computer Furniture, Inc. RCF) manufactures a line of office computer chairs. The annual demand for the chairs is estimated to be 5,000 units. The annual cost to hold one unit in inventory is US 10 per year, and the cast to initiate a production run is US $1,000. There are no computer chairs on hand, and RCF has scheduled four equal production runs of computer chairs for the coming year, the first of which is to be run immediately. RCF has 250 business days per year, sales occur uniformly throughout the year, and production start-up is within one day. RCF is considering using the following formula for determining the economic order quantity EOQ):

If: A = cast to initiate a production run per purchase order D = annual unit demand K = cost of carrying one unit per year
insert code
  • «
  • 1
  • 2
  • 3
  • 4
  • 5
  • 6
  • 7
  • 8
  • 9
  • 10
  • …
  • »
  • »»
[×]

Download PDF File

Enter your email address to download IIA.IIA-CIA-Part3.v2025-10-13.q454 Dumps

Email:

FreeQAs

Our website provides the Largest and the most Latest vendors Certification Exam materials around the world.

Using dumps we provide to Pass the Exam, we has the Valid Dumps with passing guranteed just which you need.

  • DMCA
  • About
  • Contact Us
  • Privacy Policy
  • Terms & Conditions
©2025 FreeQAs

www.freeqas.com materials do not contain actual questions and answers from Cisco's certification exams.