FreeQAs
 Request Exam  Contact
  • Home
  • View All Exams
  • New QA's
  • Upload
PRACTICE EXAMS:
  • Oracle
  • Fortinet
  • Juniper
  • Microsoft
  • Cisco
  • Citrix
  • CompTIA
  • VMware
  • SAP
  • EMC
  • PMI
  • HP
  • Salesforce
  • Other
  • Oracle
    Oracle
  • Fortinet
    Fortinet
  • Juniper
    Juniper
  • Microsoft
    Microsoft
  • Cisco
    Cisco
  • Citrix
    Citrix
  • CompTIA
    CompTIA
  • VMware
    VMware
  • SAP
    SAP
  • EMC
    EMC
  • PMI
    PMI
  • HP
    HP
  • Salesforce
    Salesforce
  1. Home
  2. IIA Certification
  3. IIA-CIA-Part3 Exam
  4. IIA.IIA-CIA-Part3.v2025-10-13.q454 Dumps
  • ««
  • «
  • …
  • 25
  • 26
  • 27
  • 28
  • 29
  • 30
  • 31
  • 32
  • 33
  • 34
  • …
  • »
  • »»
Download Now

Question 141

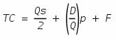
The economic order quantity, Q. is the size of the order that minimizes total inventory costs. These costs, which are composed of ordering and holding costs, can be computed using the following expression:

If: TC = total inventory costs Q = size of each order D = annual demand in units F = fixed costs of ordering P = variable cost of placing one order S = holding (carrying) cost per year for one unit of inventory
The following inventory information is available for an organization:
Annual demand (D) 20.000 units Variable cost of placing one order (P) US $100 Holding cost per unit (S) $1 Economic order quantity (Q) 2.000 units Fixed cost of ordering $0

Correct Answer: A
When the order size is 2,000 units, the variable inventory costs are US $2,000 {[(2.000 units x $1) + 2] + [(20,000 units + 2,000 units) x $100]}. When the order size is 4,000 units, the variable inventory costs are US $2,500 {[(4.000 units x $1) + 2] + [(20,000 units + 4,000 units) x $100]}. The increase in inventory costs is US $500 ($2,500 - $2,000).
insert code

Question 142

A company has several departments that conduct technical studies and prepare reports for clients. Recently, there have been long delays in having these reports copied at the company's centralized copy center because of the dramatic increase in business. !Management is considering decentralizing copy services to reduce the turnaround and provide clients with timely reports. An appropriate technique for minimizing turnaround time and the cost of providing copy services is:

Correct Answer: A
Two basic costs are involved in queuing waiting-line) models: I) the cost of providing service including facility costs and operating costs), and 2) the cost of idle resources waiting in line. The latter II may be a direct cost if paid employees are waiting, or an opportunity cost in the case of waiting customers. The objective of queuing theory is to minimize the total cost of the system, including both service and waiting costs, for a given rate of arrivals. This minimization occurs at the point at which cost of waiting is balanced by the cost of providing service. This company wishes to reduce the total of waiting costs turnaround time) and the cost of copy services.
insert code

Question 143

Which of the following is true of bond financing, compared to common stock, when alJ other variables are equal?

Correct Answer: C
insert code

Question 144

Which of the following standards would be most useful in evaluating the performance of a customer-service group?

Correct Answer: C
insert code

Question 145

A new advertising agency serves a wide range of clients including manufacturers, restaurants, service businesses, department stores, and other retail establishments. The accounting system the advertising agency has most likely adopted for its record keeping in accumulating costs is:

Correct Answer: A
Job-order costing is used by organizations whose products or services are readily identified by individual units or batches. The advertising agency accumulates its costs by client Job-order costing is the most appropriate system for this type of nonmanufacturing firm.
insert code
  • ««
  • «
  • …
  • 25
  • 26
  • 27
  • 28
  • 29
  • 30
  • 31
  • 32
  • 33
  • 34
  • …
  • »
  • »»
[×]

Download PDF File

Enter your email address to download IIA.IIA-CIA-Part3.v2025-10-13.q454 Dumps

Email:

FreeQAs

Our website provides the Largest and the most Latest vendors Certification Exam materials around the world.

Using dumps we provide to Pass the Exam, we has the Valid Dumps with passing guranteed just which you need.

  • DMCA
  • About
  • Contact Us
  • Privacy Policy
  • Terms & Conditions
©2025 FreeQAs

www.freeqas.com materials do not contain actual questions and answers from Cisco's certification exams.