FreeQAs
 Request Exam  Contact
  • Home
  • View All Exams
  • New QA's
  • Upload
PRACTICE EXAMS:
  • Oracle
  • Fortinet
  • Juniper
  • Microsoft
  • Cisco
  • Citrix
  • CompTIA
  • VMware
  • SAP
  • EMC
  • PMI
  • HP
  • Salesforce
  • Other
  • Oracle
    Oracle
  • Fortinet
    Fortinet
  • Juniper
    Juniper
  • Microsoft
    Microsoft
  • Cisco
    Cisco
  • Citrix
    Citrix
  • CompTIA
    CompTIA
  • VMware
    VMware
  • SAP
    SAP
  • EMC
    EMC
  • PMI
    PMI
  • HP
    HP
  • Salesforce
    Salesforce
  1. Home
  2. CAA Global Certification
  3. Module-0 Exam
  4. CAAGlobal.Module-0.v2022-04-13.q19 Dumps
  • «
  • 1
  • 2
  • 3
  • 4
  • 5
  • »
Download Now

Question 11

Calculate the scalar product of the vectors A and B. where A = (5,10, 2) and B - (2. 3, 3).

Correct Answer: D
insert code

Question 12

Determine the binomial expansion of (2x-X2)3.

Correct Answer: D
insert code

Question 13

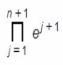
Express the following using Pi notation:

A)

B)

C)

D)

Correct Answer: C
insert code

Question 14

Identify which of the following statements is correct.
For a continuous random variable X, the distribution function evaluated at X= x measures:

Correct Answer: D
insert code

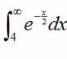
Question 15

Evaluate

Correct Answer: D
insert code
  • «
  • 1
  • 2
  • 3
  • 4
  • 5
  • »
[×]

Download PDF File

Enter your email address to download CAAGlobal.Module-0.v2022-04-13.q19 Dumps

Email:

FreeQAs

Our website provides the Largest and the most Latest vendors Certification Exam materials around the world.

Using dumps we provide to Pass the Exam, we has the Valid Dumps with passing guranteed just which you need.

  • DMCA
  • About
  • Contact Us
  • Privacy Policy
  • Terms & Conditions
©2026 FreeQAs

www.freeqas.com materials do not contain actual questions and answers from Cisco's certification exams.