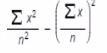
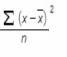
Identify which of the following is not true about the population variance of a set of data.
Identify which of the following statements is not true about the probability density function of a continuous random variable.
Consider the following definite integral:
Determine for which combination of a and b the integral converges.
A)
B)
C)
D)