FreeQAs
 Request Exam  Contact
  • Home
  • View All Exams
  • New QA's
  • Upload
PRACTICE EXAMS:
  • Oracle
  • Fortinet
  • Juniper
  • Microsoft
  • Cisco
  • Citrix
  • CompTIA
  • VMware
  • SAP
  • EMC
  • PMI
  • HP
  • Salesforce
  • Other
  • Oracle
    Oracle
  • Fortinet
    Fortinet
  • Juniper
    Juniper
  • Microsoft
    Microsoft
  • Cisco
    Cisco
  • Citrix
    Citrix
  • CompTIA
    CompTIA
  • VMware
    VMware
  • SAP
    SAP
  • EMC
    EMC
  • PMI
    PMI
  • HP
    HP
  • Salesforce
    Salesforce
  1. Home
  2. IIA Certification
  3. IIA-CIA-Part3 Exam
  4. IIA.IIA-CIA-Part3.v2025-01-02.q249 Dumps
  • ««
  • «
  • …
  • 3
  • 4
  • 5
  • 6
  • 7
  • 8
  • 9
  • 10
  • 11
  • 12
  • …
  • »
  • »»
Download Now

Question 31

The average labor cost per unit for the first batch produced by a new process is US $120. The cumulative average labor cost after the second batch is US $72 per product. Using a batch size of 100 and assuming the learning curve continues, the total labor cost of four batches will be:

Correct Answer: D
The learning curve reflects the increased rate at which people perform tasks as they gain experience. The time required to perform a given task becomes progressively shorter. Ordinarily, the curve is expressed in a percentage of reduced time to complete a task for each doubling of cumulative production. One common assumption in a learning curve model is that the cumulative average time (and labor cost) per unit is reduced by a certain percentage each time production doubles. Given a US $120 cost per unit for the first 100 units and a US $72 cost per unit when cumulative production doubled to 200 units, the learning curve percentage must be 60% (US $72 + $120). If production is again doubled to 400 units (four batches), the average unit labor cost should be US $43.20 ($72 x 60%). Hence, total labor cost for 400 units is estimated to be US $17,280 (400 units x $43.20).
insert code

Question 32

The carrying amount cost minus accumulated depreciation) of property plant, and equipment disposed of in Year 2 was:

Correct Answer: A
The cost of PPE disposed of is US $20,000$295,000 beginning PPE + 65,000 acquisitions - $340,000 ending PPE). The accumulated depreciation + $30,000 depreciation expense - $119,000 ending encountered depreciation. Thus, the carrying amount of PPE disposed of is US $7,000'.I I Or II i depreciation).
Balance sheets on December 31, Year 1, and December 31, Year 2, are presented below
insert code

Question 33

Which of the following is the most appropriate way to record each partner's initial investment in a partnership?

Correct Answer: A
Explanation/Reference: https://www.slideshare.net/ArthikDavianti/accounting-for-partnership-46681465
insert code

Question 34

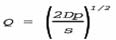
The economic order quantity is the size of the order that minimizes total inventory costs which include ordering and holding carrying) costs. It can be calculated using the formula

If Q = order size in units, D = annual demand in units, p = cost per purchase order, s = carrying cost per year for one unit of inventory. If the annual demand decreases by 369/o the optimal order size will:

Correct Answer: A
D decreases by 36%, that is, from 100% to 64%. Because .64 is the square of .8, the EOQ for 64D Q~) equals 80% of the EOQ for D (Q).
insert code

Question 35

Which of the following is false with regard to Internet connection firewalls?

Correct Answer: A
Explanation/Reference:
insert code
  • ««
  • «
  • …
  • 3
  • 4
  • 5
  • 6
  • 7
  • 8
  • 9
  • 10
  • 11
  • 12
  • …
  • »
  • »»
[×]

Download PDF File

Enter your email address to download IIA.IIA-CIA-Part3.v2025-01-02.q249 Dumps

Email:

FreeQAs

Our website provides the Largest and the most Latest vendors Certification Exam materials around the world.

Using dumps we provide to Pass the Exam, we has the Valid Dumps with passing guranteed just which you need.

  • DMCA
  • About
  • Contact Us
  • Privacy Policy
  • Terms & Conditions
©2025 FreeQAs

www.freeqas.com materials do not contain actual questions and answers from Cisco's certification exams.